1 / 2
0
Views
0
Plays


0.0
0
0 Likes
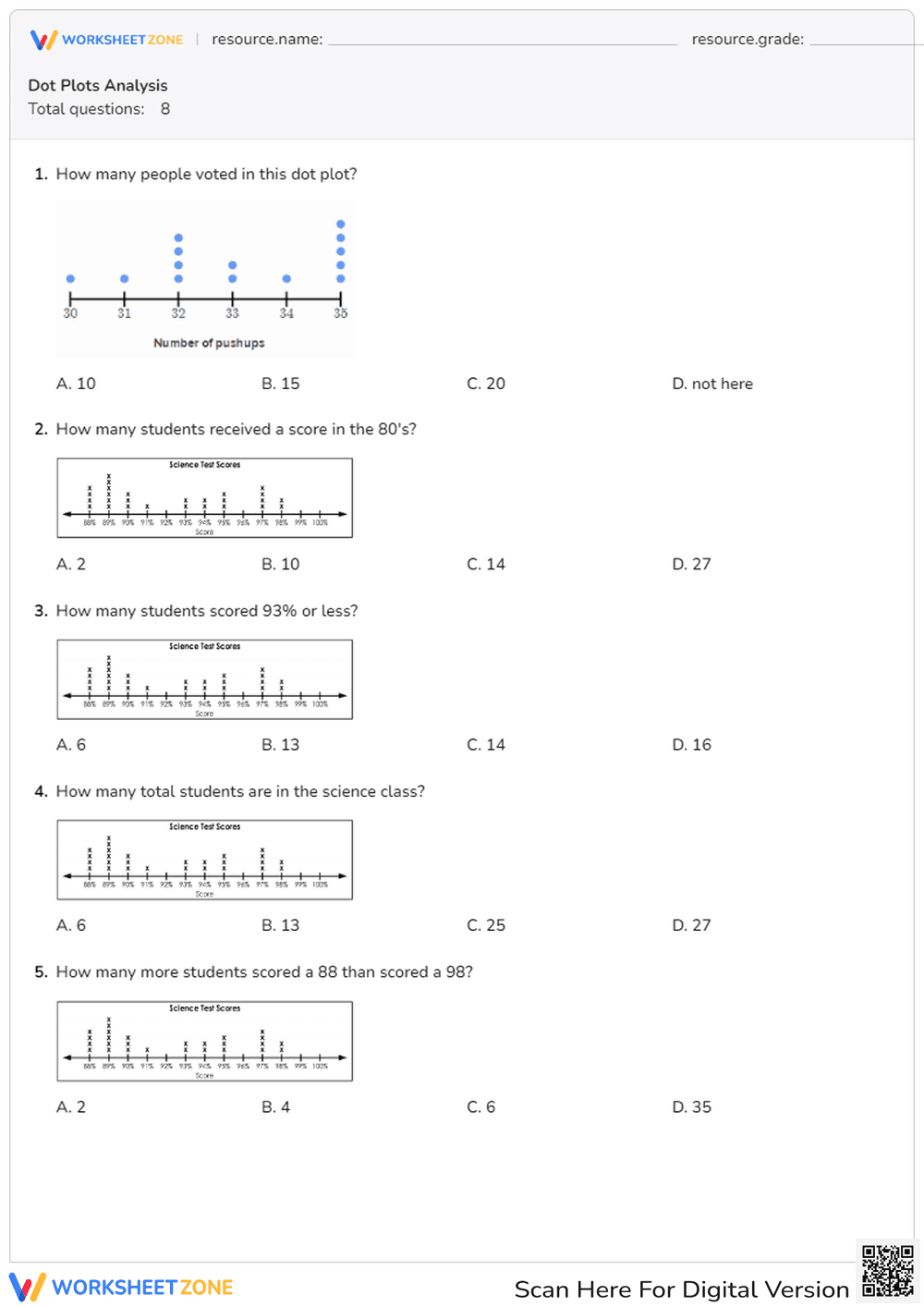
Dot Plots Analysis
0 Views
0 Plays
Paste this activity's link or code into your existing LMS (Google Classroom, Canvas, Teams, Schoology, Moodle, etc.).
Students can open and work on the activity right away, with no student login required.
You'll still be able to track student progress and results from your teacher account.
Information
Description
Practice analyzing data and solve the problems based on the given dot-plot diagrams in this quiz.




