0
Views
0
Downloads

0.0
0
0 Likes
Exponential & Logarithmic Functions Graphing Practice Worksheet
0 Views
0 Downloads
Paste this activity's link or code into your existing LMS (Google Classroom, Canvas, Teams, Schoology, Moodle, etc.).
Students can open and work on the activity right away, with no student login required.
You'll still be able to track student progress and results from your teacher account.
Information
Description
What It Is:
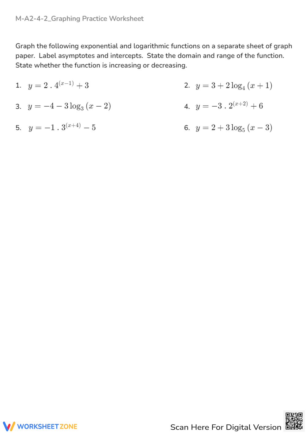
This is a math worksheet focused on graphing exponential and logarithmic functions. It provides six different equations, including exponential equations like y = 2.4^(x-1) + 3 and logarithmic equations like y = 3 + 2log₄(x+1). The instructions ask students to graph each function on separate graph paper, label asymptotes and intercepts, state the domain and range, and determine if the function is increasing or decreasing.
Grade Level Suitability:
This worksheet is suitable for high school students, specifically grades 11-12 (Algebra 2 or Precalculus). The concepts of exponential and logarithmic functions, asymptotes, intercepts, domain, and range are typically covered in these advanced math courses.
Why Use It:
This worksheet provides practice in graphing and analyzing exponential and logarithmic functions. It helps students develop a deeper understanding of these functions by requiring them to identify key features like asymptotes and intercepts, determine the domain and range, and analyze the function's behavior (increasing or decreasing). It reinforces the connection between equations and their graphical representations.
How to Use It:
Students should obtain graph paper and carefully graph each function. They need to calculate or identify key points, asymptotes, and intercepts for each function. After graphing, they should determine the domain and range from the graph, and state whether the function is increasing or decreasing.
Target Users:
The target users are high school students in Algebra 2 or Precalculus courses who are learning about exponential and logarithmic functions. It is also suitable for students reviewing these concepts or needing extra practice.
This is a math worksheet focused on graphing exponential and logarithmic functions. It provides six different equations, including exponential equations like y = 2.4^(x-1) + 3 and logarithmic equations like y = 3 + 2log₄(x+1). The instructions ask students to graph each function on separate graph paper, label asymptotes and intercepts, state the domain and range, and determine if the function is increasing or decreasing.
Grade Level Suitability:
This worksheet is suitable for high school students, specifically grades 11-12 (Algebra 2 or Precalculus). The concepts of exponential and logarithmic functions, asymptotes, intercepts, domain, and range are typically covered in these advanced math courses.
Why Use It:
This worksheet provides practice in graphing and analyzing exponential and logarithmic functions. It helps students develop a deeper understanding of these functions by requiring them to identify key features like asymptotes and intercepts, determine the domain and range, and analyze the function's behavior (increasing or decreasing). It reinforces the connection between equations and their graphical representations.
How to Use It:
Students should obtain graph paper and carefully graph each function. They need to calculate or identify key points, asymptotes, and intercepts for each function. After graphing, they should determine the domain and range from the graph, and state whether the function is increasing or decreasing.
Target Users:
The target users are high school students in Algebra 2 or Precalculus courses who are learning about exponential and logarithmic functions. It is also suitable for students reviewing these concepts or needing extra practice.




