1 / 2
0
Views
0
Downloads


0.0
0
0 Likes
Master Multiplying Exponents with this Practice Sheet
0 Views
0 Downloads
Paste this activity's link or code into your existing LMS (Google Classroom, Canvas, Teams, Schoology, Moodle, etc.).
Students can open and work on the activity right away, with no student login required.
You'll still be able to track student progress and results from your teacher account.
Information
Description
What It Is:
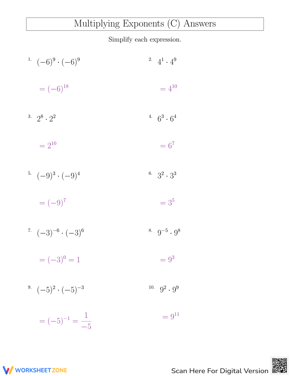
This is a math worksheet focused on multiplying exponents. It presents ten problems where students need to simplify expressions involving exponents with both positive and negative bases. The problems include examples like (-6)3 (-6)9 and 43 49.
Grade Level Suitability:
This worksheet is most suitable for grades 7-9. It requires an understanding of exponents and the rules for multiplying powers with the same base. The inclusion of negative bases adds a layer of complexity appropriate for these grade levels.
Why Use It:
This worksheet reinforces the fundamental rule of exponents that states when multiplying powers with the same base, you add the exponents. It also helps students practice applying this rule with both positive and negative numbers, building a strong foundation in algebra.
How to Use It:
Students should simplify each expression by adding the exponents of the same base. For example, for the problem (-6)3 * (-6)9, students should add 3 and 9 to get (-6)12. They should then calculate the final value.
Target Users:
This worksheet is ideal for students who are learning about or need to practice multiplying exponents. It is also useful for teachers looking for supplementary material to reinforce this concept in their algebra lessons.
This is a math worksheet focused on multiplying exponents. It presents ten problems where students need to simplify expressions involving exponents with both positive and negative bases. The problems include examples like (-6)3 (-6)9 and 43 49.
Grade Level Suitability:
This worksheet is most suitable for grades 7-9. It requires an understanding of exponents and the rules for multiplying powers with the same base. The inclusion of negative bases adds a layer of complexity appropriate for these grade levels.
Why Use It:
This worksheet reinforces the fundamental rule of exponents that states when multiplying powers with the same base, you add the exponents. It also helps students practice applying this rule with both positive and negative numbers, building a strong foundation in algebra.
How to Use It:
Students should simplify each expression by adding the exponents of the same base. For example, for the problem (-6)3 * (-6)9, students should add 3 and 9 to get (-6)12. They should then calculate the final value.
Target Users:
This worksheet is ideal for students who are learning about or need to practice multiplying exponents. It is also useful for teachers looking for supplementary material to reinforce this concept in their algebra lessons.




