1 / 4
0
Views
0
Downloads




0.0
0
0 Likes
Calculate Percent Increase or Decrease Worksheet
0 Views
0 Downloads
Paste this activity's link or code into your existing LMS (Google Classroom, Canvas, Teams, Schoology, Moodle, etc.).
Students can open and work on the activity right away, with no student login required.
You'll still be able to track student progress and results from your teacher account.
Information
Description
What It Is:
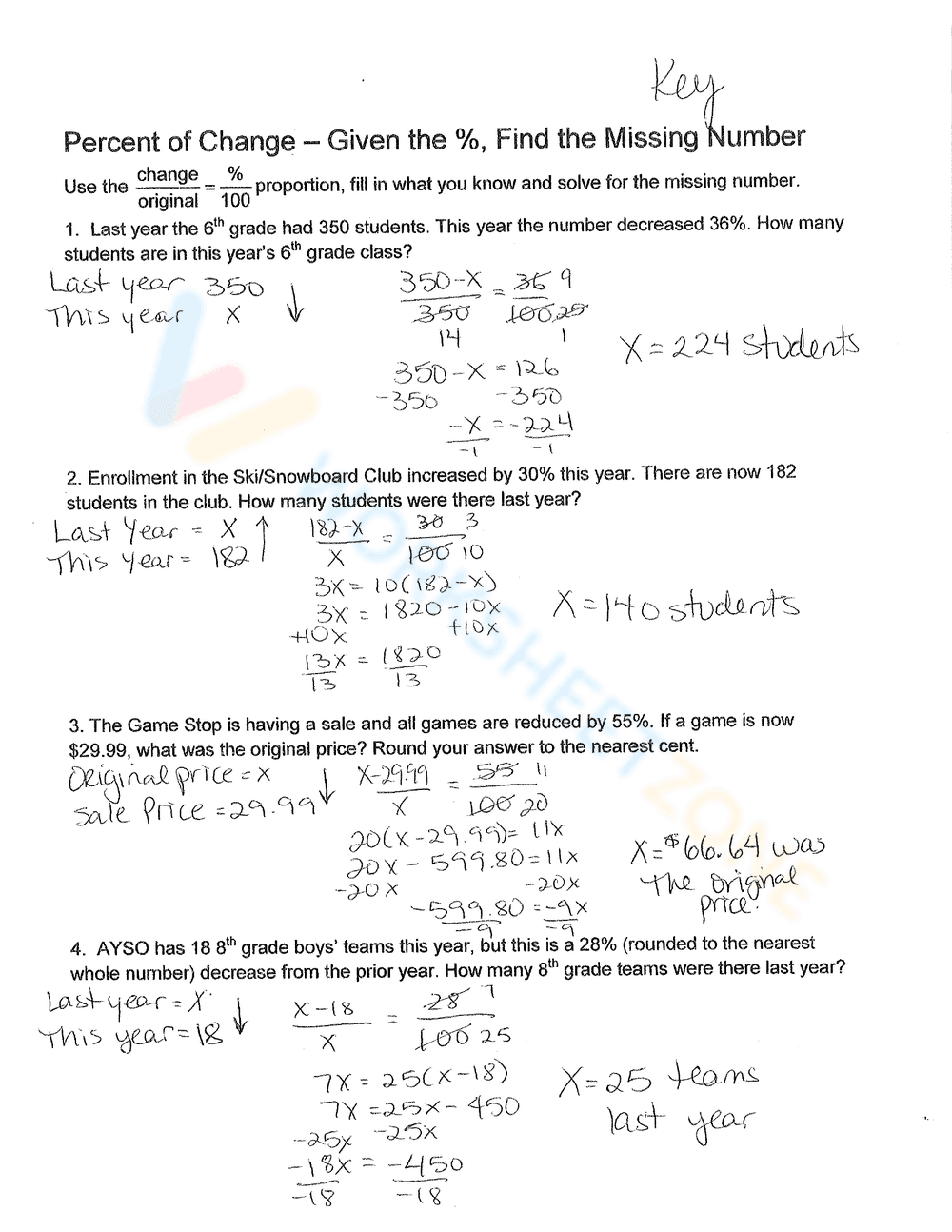
This is a 'Percent Increase or Decrease Worksheet.' It contains 12 problems where students are given an original and a new value. Students need to determine if the change represents an increase or a decrease and then calculate the percentage of that change using the formula change/original. The problems include before/after scenarios, cost changes over years, regular/sale price comparisons, and original/new number comparisons.
Grade Level Suitability:
This worksheet is suitable for grades 6-8. It requires understanding of basic arithmetic operations (subtraction, division) and the concept of percentages. The application of the formula change/original makes it appropriate for middle school math.
Why Use It:
This worksheet reinforces the understanding of percentage change, a vital skill in real-world applications such as finance, economics, and everyday shopping. It helps students differentiate between percentage increase and decrease and apply the correct formula to calculate the change.
How to Use It:
Students should first determine if each scenario represents an increase or decrease. Then, they should calculate the amount of change (difference between the original and new values). Finally, they should divide the change by the original value and convert the result to a percentage.
Target Users:
The target users are middle school students learning about percentages, teachers looking for practice worksheets on percentage increase and decrease, and homeschool educators covering percentage calculations.
This is a 'Percent Increase or Decrease Worksheet.' It contains 12 problems where students are given an original and a new value. Students need to determine if the change represents an increase or a decrease and then calculate the percentage of that change using the formula change/original. The problems include before/after scenarios, cost changes over years, regular/sale price comparisons, and original/new number comparisons.
Grade Level Suitability:
This worksheet is suitable for grades 6-8. It requires understanding of basic arithmetic operations (subtraction, division) and the concept of percentages. The application of the formula change/original makes it appropriate for middle school math.
Why Use It:
This worksheet reinforces the understanding of percentage change, a vital skill in real-world applications such as finance, economics, and everyday shopping. It helps students differentiate between percentage increase and decrease and apply the correct formula to calculate the change.
How to Use It:
Students should first determine if each scenario represents an increase or decrease. Then, they should calculate the amount of change (difference between the original and new values). Finally, they should divide the change by the original value and convert the result to a percentage.
Target Users:
The target users are middle school students learning about percentages, teachers looking for practice worksheets on percentage increase and decrease, and homeschool educators covering percentage calculations.




